研报&论文

估计分析师预期偏差新方法——投资者是否过度依赖分析师预期

由crisvalentine创建,最终由crisvalentine 被浏览 28 用户

摘要

文献来源:So E C . A new approach to predicting analyst forecast errors: Do investors overweight analyst forecasts?[J]. Journal of Financial Economics, 2011, 108(3):615-640.

推荐原因:本文证明了价格没有完全反映分析师预测误差中可预测部分,认为投资者往往过度重视分析师预测,这与之前的研究结论相悖。本文指出了传统估计分析师预测偏差方法中存在估计偏误,并开发了一种减少这种偏误的新方法——通过公司历史基本面信息来对公司的盈利进行预测,对比该预测结果与分析师预测来检验分析师预测的偏差。本文发现,根据乐观度(预测结果与分析师预测的差值)对公司进行排序的策略获得了异常回报,这说明投资者过度重视分析师预测以及分析师预测偏差中可预测的部分会影响股票价格。

{w:100}

引言

估计公司未来的盈利能力是估值分析的一个重要部分。分析师可以通过将公开和私人信息混合转化为对未来收益的预测,来促进市场估值过程。然而,大量涵盖金融、经济和会计的文献对在投资决策中使用这些预测提出了担忧,通常认为分析师和收益预测的使用者之间的根本出发点不一致。这篇文献中的集体证据表明,依赖分析师的预测会产生对公司价值的偏颇估计。

认识到这一问题,促使研究人员开发技术,以确定分析师预测错误的可预测成分。这些技术的发展也反映出人们希望更好地了解什么信息反映在价格上。在某种程度上,投资者高估了分析师的预测,一家公司的股价不太可能完全反映与可预测的分析师预测错误相关的盈利信息。因此,如果这样的高估是系统性的,那么识别可预测的预测偏差在定价方面就有潜在的用处。本文的目的是确定投资者是否以及在何种程度上系统性地过度重视分析师的盈利预测。

基于类似的目标,Hughes, Liu和Su(2008)得出结论,投资者没有过度使用分析师的预测。他们发现,根据预测偏差对公司进行分类的策略不能产生异常收益,并将这一发现归因于市场效率与分析师偏差的可预测部分。我认为,他们的发现不太可能是市场效率的结果,而是他们方法论错误的结果。

Hughes、Liu和Su(2008)等人使用的传统预测预测误差的方法是对滞后的、公开可见的企业特征进行回归的结果。所得到的估计系数应用于当前特征,以建立一个拟合预测未来的预测误差的模型。我证明了传统的方法会在预测误差中引入偏误。当可观察到的企业特征与分析师预测中不可观察的输入(如分析师的目的性或私人信息)相关联时,预估分析师预测偏差时偏误就会产生。预测的预测误差可以一致地高于或低于真实的预测误差,这取决于这些相关性的方向和大小。此外,预测误差的偏误可能因公司而异,这限制了它们在横截面上对股票进行筛选的能力。由于测试过度依赖于根据预测错误对公司进行排序的结果,因此在方法方面未取得进展的情况下,很难评估投资者是否过度使用分析师的预测。

在本文中,我开发并实现了一种预测分析师预测偏差的新方法,它规避了许多阻碍传统方法的问题。这种新方法也涉及使用历史上估计的关系,但将重点转向对未来收益的预测,而不是基于回归的拟合过去的预测偏差。这种方法对估计偏差不那么敏感,并且对已实现的预测误差和未来收益提供了显着的预测能力。

本文所强调的方法被称为预测分析师预测偏差的特征方法。这一术语反映了这样一个事实:我将分析师的盈利预测与公司特征盈利预测进行对比,两种预测都是在公司公布年度盈利的几个月前进行的。我构建公司特征盈利预测模型,采用了Fama和French(2000)在预测公司未来盈利能力时使用的指标:滞后收益、账面价值、应计收益、资产增长、股息和价格。我估计混合截面回归,以分析盈利和滞后企业特征之间的大样本关系。我将历史上对公司最近特征的估计系数用于对未来收益的事前预测。我首先展示了特征预测是历史盈利的无偏预测,并将这些预测与卖方分析师发布的预测进行对比。

对比特征和分析师的预测,几种有趣的现象出现了。首先,特征预测超过分析师一致预期的公司实现的收益往往超过一致预期,反之亦然。其次,当存在差异时,分析师随后会按照特征预测的方向修正他们的预测,直至公司公告。第三,当特征预测超过分析师的一致预测时,分析师更有可能对某家公司提出投资建议,反之亦然。这些结果表明,在预测公司未来业绩时,分析师在纳入特征预测中嵌入的信息方面行动迟缓,过度依赖分析师预测可能导致重大估值错误。

考虑到依赖分析师预测时可能出现的估值错误,我进行了一系列测试,以检验投资者是否过度重视分析师的预测。利用一个简单的两期框架,我建立了投资者如何通过将未来收益与特征和分析师预测之间的差异联系起来,精确地检验有效的市场权重。为了实施这个测试,我开发了一个新的指标,我称之为特征预测乐观程度,定义为事前特征预测减去一致预测,较高的价值对应于那些特征预示未来收益超过分析师预测的公司。我发现,购买特征预测乐观度最高五分位的公司,卖出最低五分位的公司的策略,会获得一致的异常回报,这与投资者系统性地高估分析师预测,而低估特征预测的做法是一致的。在样本外测试中,这种简单的无条件五分位数策略每年产生5.8%的平均回报。

通过进一步分析,策略收益显着增加,并与企业特征显示出一些直观的关系。在有条件测试中,股票价格对收益消息高度敏感的公司的回报率每年上升到9.4%。同样,对于小公司、历来收益令人失望的公司和财务透明度低的公司来说,典型的乐观预测是一个更强的回报预测指标。这些结果与投资者在信息环境不佳或对当前和未来获利的映射不确定的公司中更有可能调高分析师预估相一致。

对这些发现的另一种解释是回报的可预测性体现在对定价风险的反应和过度乐观预测。为了减轻基于风险的解释,我论证了回报可预测性对Fama-French风险调整和横断面测试中的标准风险控制是稳健的。典型的预测乐观主义预测回报的能力有别于公告盈利漂移、动量、应计项目异常、相对价值策略,以及投资者依赖分析师的长期增长预测。我还发现,特征预测乐观度可由预测随后的盈利公告回报,这与预测差异一致,表明盈利信息没有及时反映在价格中。

综上所述,收益预测的显著性和一致性证明了之前的研究得出的结论,投资者高估了分析师的预测。这些发现的核心含义是,投资者未能完全消除分析师预测中可预测的偏差,因此,分析师预测的扭曲会影响价格的信息内容。这些发现表明,监管机构不仅应该关注分析师预测的扭曲如何在不同程度上影响投资者群体的收益(例如,散户与机构投资者),还应该关注它们如何影响资本的有效配置。

另外两个试验比较了特征方法与传统的基于回归的拟合方法的过去预测误差。首先,我将过去的预测误差与构建特征预测时使用的企业特征相匹配,证明了特征方法在预测分析师预测误差、预测修正和未来收益方面显着优于传统方法。其次,将特征乐观预测的预测能力与现有的两种预测误差预测模型进行比较,再次找到有利于采用特征乐观预测的证据。

本文的其余部分组织如下。第2节提供了预测分析师预测错误的动机,并讨论了传统的方法。第3节和第4节讨论了实证检验、结果和稳健性检验。第5节总结。

\

动机

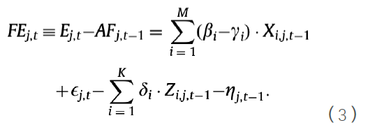
本节分析了研究人员分析师预测偏误的传统方法,并提供了本文中开发的特征方法的概述。首先,假设企业j在t年的实现收益E_(j,t)可以写成可观察企业特征的函数:

{w:100}其中,X_(1,j,t-1)…X_(m,j,t-1)代表着在t-1时刻可以观测到的与公司盈利相关的M个公司特征,ε代表残差项。类似的,分析师预测模型如下:

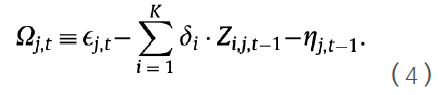
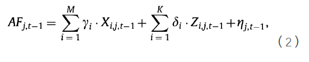
{w:100}其中X_(1,j,t-1)…X_(M,j,t-1)代表着公开信息,Z_(1,j,t-1)…Z_(K,j,t-1)代表着分析师的个人信息和主观目的。分析师预测这种现象是由大量文献所启发的,这些文献显示了利益关系在塑造分析师预测方面的作用。例如,Z_i可以表示从公司管理层获得的私人信息,或者来自分析师雇主要求发布有利预测的压力。结合方程式。(1)(2),实现的预测误差等于:

{w:100}接下来,考虑分析师预测偏误的传统方法。第一步,已实现的预期误差 对滞后的公司特征 进行回归分析。由公式(3)可以得到,该回归的误差等于:

{w:100}事实上,回归误差是分析师私人信息或动机的函数, 表示了 的估计值。其中公式(3)是有偏的,下面的例子表明了这种偏误的来源,现有的研究通常将分析师对于公司的长期成长预测在公式(3)中作为控制变量,当分析师动机影响公司的长期成长预测时,回归误差 就会变得和控制变量 相关。同时,我们有理由认为Ω_(j,t)也和分析师预期误差 相关。一些研究认为,经纪公司为分析师提供动机来影响他们的盈利预测,存在公司管理层的隐形交换现象(Dugar and Nathan, 1995; Lin and McNichols, 1998)。因此,如果分析师的动机促使他们更有可能发布高收益预测,那么 会和 负相关;作为对比,如果分析师的激励措施促使他们通过制定令人信服的高收益预测来安抚公司管理层,那么 会和 正相关。不论这些现象如何, 和 、 的相关现象,证明存在遗漏变量偏误。在估计公式(3)时,这两种情况都会导致偏差,事前无法知道偏差方向,并且偏差随着时间不同会发生改变。

第二步的传统方法中,研究者应用历史估计 ,对于当前的公司特征 ,得到的拟合值是t+1年分析师预期误差:

{w:100}其中 中,T上标表示预测误差是用传统方法计算的,使用传统的有偏回归系数会导致预测误差不等于实际预测误差的期望值:

{w:100}其中E_t [·]表示时间t下, 、 和 的期望。对于一个给定的 , 可以通过第一阶段估计的系数 实现预期误差的符号和大小预测。有偏的量级可能因公司和时间有所不同,这也使人们对横截面上的预测误差对多只股票进行分类的能力产生怀疑。

系数估计中的误差来源于研究人员无法观测分析师预期,用 在公式(2)中表示。因此,一开始我们很容易得出这样的结论,即研究人员可以通过控制分析师的动机和私人信息来消除这些偏差,如Lin和McNichols(1998)中所写的分析师与所覆盖公司的从属关系。这一结论的问题是,研究人员通常不可能确定影响分析师预期的所有输入,此外,即使研究人员能够为 开发一个全面代理变量的模型,超过一个以上变量时,这些代理变量不可避免地有测量误差(Rao,1973)。因此,试图控制不可观测的输入可能会产生加剧偏误的影响。

为了避免传统方法产生的偏差,我建议使用特征方法来预测分析师的预测错误。特征方法与传统方法的一个关键区别在于,特征方法不是对企业已实现的预测误差进行回归,而是通过估计(1)来直接估计未来收益:

{w:100}接下来,我通过对比 和t+1期公开的分析师预期收益:

{w:100}其中 中,C上标表示利用特征方法来计算分析师预测误差。与传统方法相比,特征方法是对已实现的分析师预测误差的无偏估计。

本节的主要结论是,使用传统方法来预测分析师偏误会导致有偏估计,可能高于或者低于已实现的预测误差。偏误的大小和方向,由观测到的特征用来预测分析师误差,和不可观测的输入之间的相关性决定。在上述假设下,使用特征方法可以很大程度上避免传统方法中的偏误。然而,特征方法的相对有效性取决于这些假设的合理性,这必须通过检验。

实证分析

估计特征预测和样本选择

为避免任意选择一组公司特征,我使用了Fama和French(2006)在预测未来获利能力时所采用的标准化的公司特征。因变量是公司的每股收益。

{w:100}在整个分析中,我将收益定义为扣除特殊项目后乘以0.65后的非经常项目前净收入,其中0.65反映了布拉德肖和斯隆(Bradshaw and Sloan,2002)的假设税率35%。

如Fama和French(2006),等式(9)将t年的收益表示为t-1年的以下滞后公司特征的线性函数:收益为正时的每股收益(Ej+ ),一个表示负收益的二元变量(NEGEj),正与负的每股应计费用(ACCj-, ACCj+ ),其中应计费用等于流动资产的变化加上流动负债债务的变化减去现金和短期投资的变化并减去流动负债的变化。总资产的变化百分比(AGj),是否分红的虚拟变量(DDj),每股股息(DIVj),账面市价(BTMj)定义为账面价值权益市值和会计年度末股价(PRICEj)。

我会使用截面回归而非简单的时间序列回归是因为,横断面预测还包含其他特征,例如公司的应计利润和股息,这些特征为未来的盈利能力提供了更多的的解释能力。

我估计具有九个特征每个公司年,表1的面板A列出了使用等式(9)拟合一年前(表示为FY1)收入的平均年系数。回归系数表明,过去收益和股息较高的公司,非亏损公司,应计利润和资产增长的收入较低的公司以及股价较高的公司往往具有较高的未来收益。调整后的平均R2为0.561,表明该方法可解释FY1收益的横截面变化的很大一部分。

{w:100}估计方程后 (9),我将历史估计系数应用于当前公司特征,以便事前获得特征预测,以便在观察FY1实际收益之前可以事前获得特征预测。公司j的t年特征收益预测等于:

{w:100}其中 beta表示从t-1年估算方程式(9)获得的系数,CF表示对年收入的特征预测。在特征方法下计算的预测预测误差等于过去公司特征所预测的收益水平减去分析师的预测。我对一致预期误差的预测等于特征预测与分析预测之间的差异。具体来说,我创建了一个新变量,即特征预测乐观度 ,将其用作在横断面测试中对公司进行排名的主要方法。 定义为FY1每股收益的特征预测值减去IBES中当前的FY1预测值,并按每股总资产标准化:

{w:100}我按总资产而不是股票价格来缩放特征和分析师预测之间的差异,因为在一定程度上,股票价格反映了分析师预测所创造的收益预期,因此,CO的分子和分母可能会串联移动,这有可能导致虚假交叉的截面变化。

等式 (11)表明,当CO很高时,公司的基本面预示着未来收益可能相对于分析师的预测而言是很高的,反之亦然。因此,较高的CO值应对应于过于悲观的分析师预测(即已实现收益超过分析师的预测),而较低的CO值应对应于过于乐观的分析师预测(即实现的收益低于分析师的预测)。

同样,如果投资者天真地将其对收益的期望值与分析师的预测相比较,并且没有充分利用公司基本面中的信息,则较高的CO值应对应于较高的未来收益。CO与未来收益之间的这种正向预测关系反映了这样一种想法,即CO的较高(较低)值表示价格中尚未反映的正(负)未来收益新闻。

在整个分析中,我剔除了标准行业分类(SIC)代码在6000至6999之间的金融公司。我要求公司拥有六个月的先前收益数据来计算收益动量,并剔除股价低于5美元的公司,以缓解与微观结构相关的问题,诸如出价-出价反弹之类的问题。

最终样本包括1980-2009年的51591个公司年。图2给出了每个样本年的观测计数。公司数量从1980年的546家下降到2007年的2656家,变化不一。该数字还包含每年的分析师平均预期和特征预测。分析师的预测中值通常高于特征预测的中值,这与分析师面临发布乐观预测的动机一致。

{w:100}下表中的面板A包含整个CO五分位数的平均公司特征。每列的底部包含最高和最低的五分位数之间的差异以及高低差异的p值。对应于高和低CO五分位数无差异的零假设的p值基于1980-2009年样本窗口中30年时间序列的平均差异。

SIZE(定义为市值的对数)在高和低CO五分位数之间差异不大。

LCO(定义为公司账面市值比的对数)对于高CO公司而言较高,这与表1的面板A中所示的收益与账面市值之间的负相关一致。

对于分析师而言相对于特征预测而言悲观的高CO公司,DISP显著更高

COV,即投资组合形成时覆盖公司的分析师人数,在极端的CO投资组合中以统计学上显著的方式变化。但是,覆盖范围因高和低CO组合中的公司少于一位分析师,这表明这种差异可能在经济上不重要。

{w:100}B组包含CO的五分位数的描述性统计数据。B组的第一和第二列包含CO的两个主要组成部分,即特征预测和分析师每股收益预测。尽管CO的极端五分位数之间的特征预测显著不同,但分析师预测却并非如此。B板的第三和第四列包含CO五分位数之间的CO平均值和标准偏差。在极端的五分位数中,CO的标准偏差较大,这表明CO的分布具有长尾巴。

上表的面板C包含了由BIAS衡量的分析师预测误差的描述性统计数据,该误差等于Compustat报告的收益与一致预期预测之间的差额,按每股总资产衡量。我每年计算BIAS的中位数,并报告年度时间序列的中位数和均值。与经验预测1一致,BIAS的中位数在CO五分位数之间呈单调递增,这与预测差异相一致,有助于预测分析师的偏差。

面板C还包含实际公司盈利低于分析师预期与实际公司盈利高于分析师预期的公司年百分比。结果表明,当CO低时,实际公司盈利往往低于分析师的预期;当CO高时,实际公司盈利往往高于分析师的预期。在CO五分位数中,收入高于(低于)分析师预测的观察值的百分比单调增加(降低),这表明特征预测与分析师预测之间的差异有助于预测分析师预测错误率。

下表检验了多元回归中CO和BIAS之间的关系。此分析旨在证明CO对预测误差具有单调的解释能力,而不是为预测误差创建拟合值。每年将所有控制变量分类为五分位数,其中最高(最低)的五分位数取值为一(零)。

面板A的第一列包含对主要控制变量进行BIAS回归得到的结果。BIAS与应计和长期增长预测负相关,与公司的规模和势头正相关。

第2列显示了将CO添加到回归中的结果。CO的系数为正且具有统计意义,可为标准控制增量的预测误差提供解释力。值得注意的是,CO与BIAS的关系似乎比其他控制变量要强(如t-statistics所示)

下表中的面板B包含回归结果,在回归结果中,因变量测量了分析师预测和建议中的修订。REV等于从投资组合形成日到实际收益发布日的共识预测中的变化,并按每股总资产进行标准化。

同样,IMB等于向上和向下投资建议修订版本数的平均差,以投资组合形成日期与公司收益公告之间的时间间隔内的修订总数作为比例。

第1列和第2列包含与REV相关的结果。CO的系数为正且显著,表明分析师倾向于朝着发布该公告之前的特征预测的方向修改其预测。第3列和第4列显示与IMB相关的回归结果。CO的系数再次递增正且显著,这表明分析人员将特征预测的信息内容纳入建议的速度缓慢。

特征预测通常是对实际公司盈利的一种无偏度量,特征收益与分析师预测之间的差异可以预测分析师预测误差,预测修正和投资建议的变化。

{w:100}

使用实际收益测试对分析师预期的过度看重

投资者是否系统性地过度重视了分析师的预测?

要回答这个问题,首先需要设计精确的测试,以定义和识别不同收益预测的过度看重(超重)和看重不足。

从直觉上说,购买高CO的公司并出售低CO的公司的策略若产生稳定正收益将提供证据。表明相对于最佳权重,投资者系统地重用了分析师的预测和低估了特征预测。

年度CO策略的收益非常重要,t统计量大于8。与CO相关的多空策略需要每年对投资组合进行一次重新平衡,从而减轻了人们对收益可预测性完全归因于交易成本的担忧。

当使用市场调整后的收益时,表4的主要发现没有不同,在这些市场中,高收益的五分位数公司的收益比低收益的五分位数公司的收益高5.3%。CO五分位数最高的平均回报率超过CO五分位数最低的平均回报率这一事实揭示了投资者对分析师和特征预测的重视程度。

高和低CO投资组合中的未来收益具有可预测的正差异,表明市场对未来收益的预期偏离了两种预测的最佳权重。具体而言,正的CO策略收益表明,市场对分析师预测的权重大于最佳权重,对于特征预测的权重小于最佳权重。

下表检验了多元环境下六个月和十二个月的未来收益的特征预测乐观的预测能力。

面板A给出了回归结果,其中因变量等于在投资组合形成日期后的六个月内的市场调整后的收益。第1列和第2列包含将CO解析为按比例缩放的特征预测和分析师预测的回归结果。

{w:100}第1列表明分析师的预测本身与未来收益没有显著的预测关系。第2列表明特征预测与未来的收益具有显著的正相关关系,而分析师的预测则具有显著的负相关关系

只有在控制分析师的预测时,特征预测才能正面预测未来的收益这一事实与投资者的期望与分析师的预测保持一致。

当使用CO作为主要预测变量时,第3列提供了支持证据。我添加了应计量,公司规模,账面价值,长期增长和动量的控制变量,以证明CO收益率关系与其他已知的可预测横截面测试收益的变量不同。

因为我是根据过去的收入来计算特征预测,所以CO可以直观地与过去的分析师预测偏差联系在一起。因此,一个令人担忧的问题是,CO收益率关系是否源于价格朝着过去的收益意外方向漂移的趋势,即公告后收益漂移(PEAD)

为了减轻这种担忧,我还控制了QSURP,QSURP定义为公司的最新季度收益减去宣布前夕的一致预期,并按价格进行缩放。在第3列到第5列中,CO系数保持统计显著性。

{w:100}VTP是从分析师预测得出的Edwards-Bell-Ohlson(EBO)基本价值估计,使用每年10%的恒定折现率,并按股票价格进行标准化。面板A的第6列表明,CO保留了相对于VTP的收益的增益预测能力,其中VTP系数为正但不显著。

上图绘制了特征预测乐观度最高和最低五分位数的公司的原始回报年度差异。该图表明,在1980–2009年的样本窗口内,CO策略在30年中的22年中产生了正回报。

最后,该策略在急剧的经济衰退时期表现良好,在相对于1987年市场崩溃,2001年泡沫崩溃以及2008年和2009年全球金融危机的年份中,平均回报率为13.2%

特征方法与传统方法的比较

在本节中,我将特征方法与传统方法进行比较,传统方法依赖于过去的预测误差的基于回归的拟合。为了便于直接比较,我考察了休斯,刘和苏(2008)以及弗兰克尔和李(1998)设计的两个现有的预测误差预测模型相对于CO的预测能力。

类似于特征预测的方法,我从历史上估计了分析师预测误差与下面所述的变量集之间的关系。然后,我将所得系数应用于t年的公司特征,以获得t + 1年收益的预测预测误差。Hughes,Liu和Su(2008)模型包括将预测误差拟合到以下八个变量:

  1. ACC:应计费用按总资产衡量;
  2. LTG:平均共识长期增长预测;
  3. sales growth:五年销售百分比增长;
  4. DPPE:物业,厂房和建筑物等年度变更设备;
  5. DOLA:其他长期资产的年度变化;
  6. QSURP:基于分析师的最新季度收益意外;
  7. RET:过去12个月经市场调整的股票收益;
  8. REVHIST:过去三个月中分析师两年预测的历史修订。

同样,第二个模型由以下四个变量拟合预测误差组成:

  1. 账面价格:按价格标明的每股账面权益;
  2. 销售增长:五年销售百分比增长;
  3. LTG:平均共识长期增长预测;
  4. OP:(Vf-VW)/ | VW | 其中Vf是从分析师(特征)预测得出的Edwards-BellOhlson基本值估计值,使用每年10%的恒定折现率。

表6中的面板A和B包含关于预测的预测误差的BIAS,REV和RET(1,12)的回归结果,用FE_hat表示,使用Hughes,Liu和Su(2008)以及Frankel和Lee的传统方法进行估计 (1998)。

{w:100}在面板A和面板B中,第1列表明FE_T预测分析人员的预测误差能力会相对于SIZE,BTM和MOMEN有增量信息。但是,在控制表5中使用的控制变量:ACC,LTG和QSURP之后,FE_T不再显著。在控制了这些特征之后,FE_T的增量信息并不显著,这表明在传统方法下计算出的下期预测误差,不会有助于预测误差进行预测。

CO策略来自于风格风险的贡献

对正收益率关系的另一种解释是,收益率可预测性是对与CO相关的定价风险的反应。为了消除对CO反映企业对已知风险代理的敏感性的担忧。表7中的面板A通过使用已知因子使CO策略收益正交化来计算投资组合alpha。

{w:100}上市股票依据CO 被分配到五等分,并持有六个月或是一年换仓,HML为价值策略收益。,SMB为市值策略的收益,UMD为动量策略的收益。

截距在两种持有期中显著且为正,这免除了对基于正CO策略收益关系的基于风险的可能性。第1列至第3列的截距对应于六个月的持有期,范围从0.526到0.446,表明该策略在样本窗口内产生的平均年均alpha约为5%。此外,SMB的系数为负,这与依赖具有分析员覆盖率的大公司的投资组合策略一致。

{w:100}

分析师预测被过度看重的的条件测试

先前工作的自然延伸是检查策略收益是否可预测地集中在一个集合中,在这些子集中,过度看重发生的可能性更大。使用CO作为分析师错误的预期组成部分,我们推测CO策略将在那些投资者更可能过度看重分析师预测的公司和股票价格对盈利新闻敏感度较高的公司中产生最大的回报。

首先,我检验了以下假设:在企业的股票价格对收益消息的敏感性中,策略回报会相应增加。我使用截至投资组合形成日的公司一致购买/出售建议来衡量股票价格敏感性,并推测在建议最积极的公司中,CO收益率关系最强。

我从IBES获得一致预期投资建议,其评级范围从1 =强买到5 =强卖。我将样本分为三组。平均建议在1到1.25之间的公司被归纳为买入,1.25和2.5的被归纳为持有,大于2.5的被归纳为卖出。

将公司分类为建议的三组会产生相似的结果。

表8的面板A展示了基于双向独立的CO和推荐样本的企业的时间序列平均回报。

在具有购买建议的公司中,CO策略的收益最为明显,在这些公司中,年均收益为9.4%(t统计= 7.681)。尽管CO策略在每个推荐组中都产生正的和统计上显著的回报,但是CO无法预测SELL投资组合中具有经济意义的回报,这代表对收益新闻更敏感的公司的CO收益更强。

其次,我检验了这样一种假设,即策略收益来源自信息环境不佳且被忽视的公司中。我用一家公司的规模作为衡量其信息环境质量的指标,并以账面市值作为衡量投资者忽视的指标。下表的B面板展示了基于双向独立的CO和SIZE的企业的时间序列平均回报。在小公司中,策略收益最大。这一结果与在信息环境较差的公司中收益更佳相吻合。

C面板根据CO和账面市值比率对公司进行分类。尽管策略收益在BTM的所有分类都具有统计意义,但对于最高收益的公司而言最为显著,它们每年产生7.7%的收益。在某种程度上,BTM反映了投资者的疏忽,结果表明,在信息环境较差的被忽视的公司中,投资者对分析师的预测更为偏重。

此外,我检验了以下假设:在过去和未来绩效之间的关系具有高度不确定性的公司中,过度看重现象更为明显。因此,我预估CO收益率与绝对应计额的相关性是正相关的。这反映出当财务报表的透明度较低时,投资者更有可能加重分析师的预测。

D面板证实了这一预测,表明在绝对应计收益最高的组合ABAC中,CO策略的收益最为显著,每年的平均年收益为9.6%。同样,E面板展示了QSURP各方面的CO策略收益,这是基于分析师的最新收益。结果证明在负收益意外后策略收益最大。由于负面收益新闻没有正面收益新闻那么持久,因此这些结果提供了额外的支持证据,即投资者在不确定当前收益与未来收益之间的映射关系时,更有可能加重分析师的预测。

{w:100} {w:100}

稳健型检验和讨论

本节概述了主要实证的稳健性检验,以及对论文中心内容的讨论。

稳健型检验

与特征预测估计相关有3个稳健性检验。首先,在创建特征预测时使用价格和账面市值比引发了人们的担忧,即乐观特征预测是通过股价对未来收益进行预测。为了减轻这些担忧,我从预测方程中删除了2个变量得到方程(9)和(10),并得到相似的定性结果。同样,价格是对未来盈利的正向预测,表明CO和价格之间存在正相关关系。在这种关系中,价值策略倾向于根据市盈率或账面市值来购买低价的公司。第二,附加的检验结果表明,尽管预测能力相对于完整特征模型较弱,使用滞后收益作为特征收益预测的方法也可以预测分析师的预测误差和未来收益。最后,我发现包括分析师预测的公式(9)和(10)产生特征预测是实现收益的有偏估计,但这不会减小CO预测未来收益的能力。

讨论

我提供的有关分析师高估预测的证据中,提出了一个很明显的问题:乐观度是如何能够始终预测未来回报的?对于个问题有几种非互斥的解释。

首先,由于我没有研究交易成本,因此不清楚回报的可预测性是否代表可用的交易机会。然而,由于投资策略要求每一家公司每年进行一次投资组合再平衡,交易成本似乎不太可能完全解释这种模型。

与Lakonishok, Shleifer, and Vishny (1994)的观点相似,第二个可能的解释是,投资者可能不知道横截面回归方法预测收益的有效性和特征方法来预测分析师误差的有效性。直到现在,时间序列盈利预测是学术文献中所使用的主要方法。与特征方法相比,之前的研究表明,时间序列预测的准确性明显低于分析师的预测(Brown and Rozeff, 1978; Brown, Hagerman, Griffin, and Zmijewski, 1987; O’Brien, 1988)。这里作者也提出了一个怀疑,他们是否有能力区分分析师的过度乐观和悲观预测。

第三个相关的解释认为,这与机构自己管理者的激励有关。经理们可能会受到激励,要求他们在事后采取合理的立场。与根据分析师的建议进行交易相比,按照分析师的普遍预期进行交易显得更为谨慎。因为这可以保护基金经理免受后续投资损失带来的法律责任。同样,由于本文所采用的策略依赖于FY1预测误差,投资者的投资期限可能过短,可能无法捕捉与典型乐观预测相关的异常回报(Lakonishok, Shleifer, and Vishny, 1994)。

最后一个可能的解释与心理学文献中所研究的行为倾向现象有关。分析师预测是现代资本市场的一个重要组成部分,可以通过各种形式广泛获得,如网络、媒体和新闻文章。由于在估值模型中使用的计算成本较低,投资者很容易获得分析师的预测。Kahneman (1973) ,Griffin和 Tversky (1992)为这一解释提供了证据,证明个人投资者通过显著性来衡量可用信号,但对信号的可信度不够重视。在提供证据证明投资者过于看重分析师预测时,本文与很多关于投资者有限注意力和认知资源在决定资产价格方面文献一致。总之,本文的研究结果表明,价格不能及时反映分析师误差的可预测部分,且不能区分这些几种解释。

\

结论

本文通过股价没有及时充分反映分析师预测误差的可预测部分,证明投资者系统性过度重视了分析师预期。这些发现的核心含义是,投资者未能完全消除分析师预测中的可预测偏差。因此,分析师预测的扭曲会影响价格的信息含义。

投资者过度重视分析师预期与之前依赖传统方法预测分析师预测误差的研究结论相冲突。当分析师预测误差的控制变量和分析师预测中不可观测的输入相关时,传统方法会主观地受到相关遗漏变量的影响。我开发并采用了一种新的方法,通过对分析师发布的特征收益预测来减轻这种偏差。我使用大样本,通过公司历史基本面信息来对公司的盈利进行预测。同时,我证明了采用特征预测来评估分析师预测,这对分析师预测偏误和未来收益有显著的预测能力。

我发现,特征预测超过分析师普通预测的公司,这些公司实现的收益往往超过分析师普通预测,反之亦然。同样,分析师也会在公布收益前,按照特征预测的方向修正他们的收益预期和投资建议。这些证据还表明,分析师吸收嵌入信息的速度很慢。特征预测和过度依赖分析师预测可能会导致错误估计。

我发现相对于最优贝叶斯权重,股票价格表现为:投资者对分析师预测的权重过高,对特征预测的权重过低。具体而言,我发现买入具有特征预测超过分析师预测的公司,而卖出具有特征预测低于分析师预测的公司,这样的策略会获得一致的异常回报。收益随着公司股价对盈利消息的敏感性,以及当前和未来盈利之间的不确定性而增加。根据先前的研究结论表明,投资者有效地加权分析师预测的权重,这对于预测收益的量级和一致性是有作用的。

综上所述,本文的研究结果对从业人员、监管机构和研究者都有一定的启示。首先,对于从业人员来说,研究结果支持使用特征预测作为评估分析师和识别潜在错误定价的手段。类似地,特征预测和分析师预测为未来盈利提供了预测增强的能力,这支持人们在评估公司时使用这两种预测。其次,投资者系统性地高估分析师预测的证据表明,受资本有效配置的激励,市场监管机构应该采取措施来改善分析师预期,比如建立额外机制,用以减少分析师和投资者之间的激励失衡。最后,针对研究人员,我提出了一个简单的检验方法,通过将预测偏差与未来收益联系起来,来检验多重盈利预测的有效加权。了解投资者是如何加权这些预测,可以更好地衡量市场对公司盈利的预期,从而潜在地提高对盈余后惊喜的估计。

标签

金融市场行为金融学
{link}