研报&论文

收益预期是如何形成的?——截面上的趋势外推

由crisvalentine创建,最终由crisvalentine 被浏览 26 用户

摘要

文献来源:Da Z, Huang X, Jin L J. Extrapolative beliefs in the cross-section: What can we learn from the crowds?[J]. Journal of Financial Economics, 2020.

推荐原因:本文使用股票排序平台的独特数据集,考察了截面上个体如何形成对股票未来收益的预期。我们发现投资者会根据股票的历史收益进行趋势外推,并且赋予近期收益更高的权重,尤其当近期收益为负或者显著时。这样的趋势外推在非专业人士中更为明显。此外,一致预期排序与股票未来收益之间呈现负相关,在机构投资者持股比例低并且趋势外推倾向强的股票中更为如此。基于投资者排序得分的交易策略能够产生经济意义显著的收益。

{w:100}

背景

投资者如何形成对资产未来收益的预期是金融研究的重要问题。大量研究提供了收益外推的证据,即投资者对资产未来收益的预期是资产近期历史收益率的正向函数。本文首次提供了投资者形成个股收益率预期的直接证据。我们发现,投资者预期与股票近期历史收益率正相关,并且与未来收益负相关,这表明他们并不是完全理性的。

我们分析了一个来自于Forcerank平台关于股票排序的独特数据集。在该平台的每次竞赛中,参与者根据他们对股票在比赛周期(通常为一周)内的预期表现,对十只股票进行排序。与其他数据集相比,Forcerank在研究投资者信念方面具有诸多优势。他们包含关于一个预先设定好的股票集合在给定预测区间内的排序信息。此外,这些排序信息来自一个高度多样并且地域上分散、独自决策的群体,从了避免了从众行为或者交叉学习。

\

数据

Forcerank平台每周会组织主题性的比赛,在每场比赛中,参与者需要根据他们对股票未来一周的表现对股票进行排序。这些比赛主要有分为两种类型。大多数比赛关注某个特定行业的股票(本文主要关注这类比赛),另一种为特定主题,如ETF或者做空的股票。此外,比赛通常会在平台上重复进行。在每次比赛结束后,平台会根据参与者的预测准确性对其打分,该得分与其他参与者的表现无关。

我们的样本包含了大多数行业的比赛,如软件,生物科技,社交媒体,电子商务,服装等,涉及到293只股票。样本中的股票以大市值股票居多。从纽交所股票市值来看,样本股票平均市值的五分位数为4.20。这对于解释后文的收益预测结果非常重要:考虑到市值的影响,样本股票较少受到流动性冲击所带来的短期反转效应影响。样本股票偏向成长股,股票的账面市值比平均为0.37(中位数为0.26),平均B/M五分位数为2.2。

\

预期的形成

我们使用Forcerank的数据研究投资者预期形成的过程。首先,我们研究用户的平均预期与过去变量如过去股票收益之间的关系。其次,我们通过考察用户与公司特征对预期形成的影响来研究投资者信念的异质性。

首先,研究股票的历史收益如何影响Forcerank用户对其未来收益的平均预期。在每周t,个人参与者会提交其对10只股票在未来t+1周表现的排序。对于比赛中的每只股票,我们通过参与者对股票的平均排序衡量投资者的平均预期。其中,每个用户排序最高的股票得分为10分,排序最低的股票得分为1分。

线性模型

将Forcerank一致得分对股票历史收益率进行回归,

{w:100}其中,Forcerank为t周末投资者对于股票在t+1周表现的一致排序,R为股票在t-s周的收益率,s为1至11。

结果表明个体会根据历史收益进行外推。过去12周收益的回归系数均显著为正。更为重要的是,近期历史收益的系数通常高于远期的历史收益。

由于投资者在Forcerank上提交的是相对排序,在一个比赛中历史收益率的相对水平对于预期的形成更为重要。因而,本位将历次比赛中的历史收益率去掉均值,即在各次比赛中,在个股原始收益的基础上减去该次比赛十只股票的平均收益。回归检验结果与前文相似。同时,经过比赛调整的历史收益的回归系数的拟合优度均提高,表示模型能够更好地拟合数据。

{w:100}

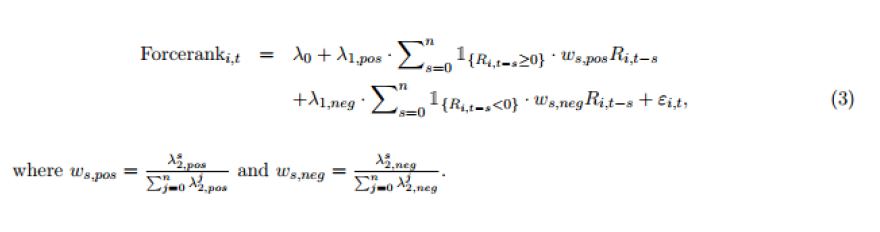
指数衰减模型

上文中的线性回归模型使得我们可以对不同的历史收益率给与不同的权重。由此,可以发现投资者当前的收益预期与近期历史收益率之间存在明确且显著的衰减形态。我们通过一个假设过去收益呈现衰减权重的回归模型来刻画这一现象:

{w:100}其中, 衡量投资者预期对过去收益的整体反应,λ_2衡量过去收益对预期形成的相对权重, 越接近0表示投资者对近期收益比远期收益给与更高的权重。当投资者对所有历史收益的权重越高,并且给近期收益的权重越高,即 越高, 越低,他的趋势外推倾向就会越强。

从下图可以看到,对 、 的估计在包含12个或更多历史周收益率后变得稳定。因此,在后文中我们使用n=11。

{w:100}从回归结果来看,Forcerank参与者呈现出显著的趋势外推。在所有回归中, 均显著为正, 为正并且显著小于1。

{w:100}

历史收益特征

为了更加深入地了解预期的形成机制,我们对具有不同特征的历史收益分别估计 及 。

{w:100}回归结果表明收益趋势外推是非对称的。特别的,个体会给予负向的历史收益更高的权重, 远大于 ,并且负向历史收益的权重衰减更慢, 远高于 ,即更接近1。

{w:100}

用户及股票特征

我们可以将收益预期与不同的用户及股票特征联系起来,对于金融专业人士及非专业人士分别估计 及 。可以看到,专业与非专业用户的趋势外推参数呈现显著区别。金融专业人士的λ_1明显低于非专业人士,表明其在形成预期时较少依赖股票的历史表现。此外,专业人士具有更高的 ,这表明非专业人士的趋势外推倾向更高,因为他们给予近期收益的权重更高。

然后,我们检验了不同股票趋势外推参数的区别。首先,对每只股票估计参数 及 ,然后将 及 对公司特征进行回归,包括市值,账面市值比,收益波动率及换手率。可以发现,市值与 及 均正相关,一种可能的解释是对于投资者来说大公司更加容易看到或者接触到,因此,公司的信息在投资者预期形成的过程中更加重要。此外,公司的换手率与 正向相关。公司的收益波动率与 负向相关,即当过去收益波动越大时,对于投资者来说越难识别股票价格的趋势,因此其进行趋势外推的程度就会减弱。最后,成长股的 高于价值股。

最后,我们细致考察了35个最活跃、经常参与比赛的用户。对于这些用户,我们能够可靠地估计其 及 并且考察这些参数的变化。我们发现几乎所有的活跃用户都是趋势外推的,只有一个是“逆行者”,其具有显著为负的 。此外我们还发现,趋势外推的信念并不会随着时间而减少。实际上, 及 均在逐渐增加,可能因为用户开始在Forcerank上定期跟踪股票后,周度收益率就变得更加重要。

{w:100}

收益预测性能力

一致预期的收益预测能力

我们首先检验了Forcerank用户一致预期是准确的还是具有系统性偏差。可以看到,Forcerank得分与公司未来收益显著负相关。为了进一步考察收益预测能力的来源,我们进一步将Forcerank得分分为两部分,其一为预期得分,其二为预期残差。预期得分为前文经比赛调整的历史收益为解释变量的非线性模型的预测值。

预期得分与未来收益也显著负相关。其回归系数的大小略高于对原始Forcerank得分回归的结果。此外,虽然过去收益仅解释了6%左右的Forcerank得分,但是其显著影响了Forcerank得分对未来收益的预测能力。

{w:100}为了检验短期反转效应对结果的影响,我们将股票经比赛调整过的一周、一月、一季度收益率添加到模型中。从结果来看,即使经过比赛修正,过去一周、一个季度的收益率对于未来一周的收益率均没有显著的预测能力。而过去一个月的收益率对于下周收益具有显著的预测能力。整体来看,在我们的样本中仅存在微弱的短期收益反转现象。而在将Forcerank得分及预测得分加入模型中后,历史收益的影响微乎其微。

最后,我们考察了残差对未来股票收益的预测能力。可以看到,残差也与下周收益之间存在负相关。这表明Forcerank得分的预测能力并没有完全被其与历史收益之间的联系所解释。其包含着收益趋势外推之外的关于投资者“情绪”的信息。

\

交易策略

在每周初,将股票根据不同变量分成5组,每周调仓。可以看到,Forcerank得分能够负向预测股票未来收益,在进行CAMP、Fama-French五因子及动量、反转因子调整后,多空收益仍然显著。

 {w:100}

结论

我们分析了一个来自于Forcerank平台关于股票排序的独特数据集。在该平台的每次竞赛中,参与者根据他们对股票在比赛周期(通常为一周)内的预期表现,对十只股票进行排序。我们的研究表明在形成对于股票未来收益的预期时,投资者会根据股票的近期收益进行外推。趋势外推在正向及负向的历史收益中具有不对称性,投资者给予负向历史收益的权重更高,并且其权重衰减较慢。我们在非金融专业人士中发现了更强的趋势外推现象。趋势外推还会受到公司特征如规模、账面市值比、收益波动性及换手率的影响。

Forcerank得分的一致预期能够显著地负向预测未来收益。Forcerank得分可分解为历史收益所解释的预期得分部分及残差部分。两项均显著负向预测未来收益。这表明Forcerank用户的信念具有系统性偏差。从横截面上来看,Forcerank得分的收益预测能力在低机构投资者占比及高趋势外推倾向股票中更强。基于Forcerank得分的投资策略具有经济意义显著的风险调整后收益。

{link}